Home
Papers
Projects
Blog
Course Notes
About
第11讲 分块矩阵
Linear Algebra
Published
July 3, 2017
Modified
November 2, 2017
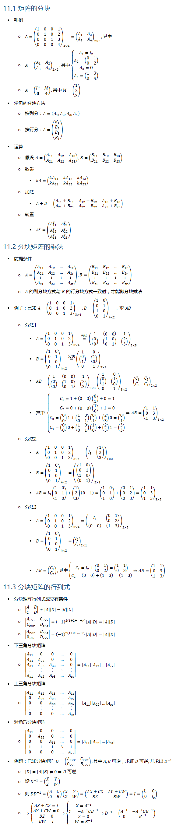
11.1 矩阵的分块 • 引例 ○ A=(■8(1&0&0&1@0&1&0&2@0&0&1&3@0&0&0&4))_(4×4)=(■8(A_1&A_2@A_3&A_4 ))_(2×2),其中 ○ A=(■8(A_1&A_2@A_3&A_4 ))_(2×2),其中{█(A_1=I_2@A_2=(■8(0&1@0&2))
@A_3
=0@A_4=(■8(1&3@0&4)) )┤ ○ A=(■8(I^3&M@0&4)),其中 M=(■8(1@2
@3
)) • 常见的分块方法 ○ 按列分:A=(A_1,A_2,A_3,A_4 ) ○ 按行分:A=(■8(B_1@B_2
@B_3
@B_4
)) • 运算 ○ 假设 A=(■8(A_11&A_12&A_13@A_21&A_22&A_23 )), B=(■8(B_11&B_12&B_13@B_21&B_22&B_23 )) ○ 数乘 § kA=(■8(kA_11&kA_12&〖kA〗_13@kA_21&〖kA〗_22&kA_23 )) ○ 加法 § A+B=(■8(A_11+B_11&A_12+B_12&A_13+B_13@A_21+B_21&A_22+B_22&A_23+B_23 )) ○ 转置 § A
T=(■8(A_11
T&A_21
T@A_12
T&A_22
T@A_13
T&A_23^T )) 11.2 分块矩阵的乘法 • 前提条件 ○ A=(■8(A_11&A_12&…&A_1t@A_21&A_22&…&A_2t@⋮&⋮&⋮&⋮
@A_s1&A_s2
&…&A_st )), B=(■8(B_11&B_12&…&B_1r@B_21&B_22&…&B_2r@⋮&⋮&⋮&⋮
@B_t1&B_t2
&…&B_tr )) ○ A 的列分块方式与 B 的行分块方式一致时,才能做分块乘法 • 例子:已知 A=(■8(1&0&0&1@0&1&0&2@0&0&1&3))_(3×4), B=(■8(1&0@0&1@1&0@0&1))_(4×2),求 AB ○ 分法1 § A=(■8(1&0&0&1@0&1&0&2@0&0&1&3))_(3×4) =┴分块 (■8(1&(■8(0&0))&1@(■8(0@0))&(■8(1&0@0&1))&(■8(2@3)) ))_(2×3) § B=(■8(1&0@0&1@1&0@0&1))_(4×2) =┴分块 (■8(1&0@(■8(0@1))&(■8(1@0))
@0&1
))_(3×2) § AB=(■8(1&(■8(0&0))&1@(■8(0@0))&(■8(1&0@0&1))&(■8(2@3)) ))_(2×3) (■8(1&0@(■8(0@1))&(■8(1@0))
@0&1
))_(3×2)=(■8(C_1&C_2@C_3&C_4 ))_(2×2) § 其中 {█(C_1=1+(■8(0&0))(■8(0@1))+0=1@C_2=0+(■8(0&0))(■8(1@0))+1=0@C_3=(■8(0@0))1+(■8(1&0@0&1))(■8(0@1))+(■8(2@3))0=(■8(0@1))
@C_4
=(■8(0@0))0+(■8(1&0@0&1))(■8(1@0))+(■8(2@3))1=(■8(3@3)) )┤⇒AB=(■8(1&1@0&3@1&3))_(3×2) ○ 分法2 § A=(■8(1&0&0&1@0&1&0&2@0&0&1&3))_(3×4)=(■8(I_3&(■8(1@2
@3
)) ))_(1×2) § B=(■8(1&0@0&1@1&0@0&1))_(4×2)=(■8((■8(1&0@0&1@1&0))@(■8(0&1)) ))_(2×1) § AB=I_3 (■8(1&0@0&1@1&0))+(■8(1@2
@3
))(■8(0&1))=(■8(1&0@0&1@1&0))+(■8(0&1@0&2@0&3))=(■8(1&1@0&3@1&3))_(3×2) ○ 分法3 § A=(■8(1&0&0&1@0&1&0&2@0&0&1&3))_(3×4)=(■8(I_2&(■8(0&1@0&2))@(■8(0&0))&(■8(1&3)) ))_(2×2) § B=(■8(1&0@0&1@1&0@0&1))_(4×2)=(■8(I_2@I_2 ))_(2×1) § AB=(■8(C_1@C_2 )),其中{█(C_1=I_2+(■8(0&1@0&2))=(■8(1&1@0&3))
@C_2
=(■8(0&0))+(■8(1&3))=(■8(1&3)) )┤⇒AB=(■8(1&1@0&3@1&3)) 11.3 分块矩阵的行列式 • 分块矩阵行列式成立有条件 ○ |■8(A&B@C&D)|≠|A||D|−|B||C| ○ |■8(A_(r×r)&0_(r×s)
@C
_(s×r)&D_(s×s) )|=(−1)^(2(1+2+…+r)) |A||D|=|A||D| ○ |■8(A_(r×r)&B_(r×s)
@0
_(s×r)&D_(s×s) )|=(−1)^(2(1+2+…+r)) |A||D|=|A||D| • 下三角分块矩阵 ○ |■8(A_11&0&0&…&0@A_21&A_22&0&…&0@A_31&A_32&A_33&…&0@⋮&⋮&⋮&⋱&⋮
@A_s1&A_s2&A_s3
&…&A_ss )|=|A_11 ||A_22 |…|A_ss | • 上三角分块矩阵 ○ |■8(A_11&A_12&A_13&…&A_1s@0&A_22&A_23&…&A_2s@0&0&A_33&…&A_3s@⋮&⋮&⋮&⋱&⋮
@0&0&0
&…&A_ss )|=|A_11 ||A_22 |…|A_ss | • 对角形分块矩阵 ○ |■8(A_11&0&0&…&0@0&A_22&0&…&0@0&0&A_33&…&0@⋮&⋮&⋮&⋱&⋮
@0&0&0
&…&A_ss )|=|A_11 ||A_22 |…|A_ss | • 例题:已知分块矩阵 D=(■8(A_(r×r)&C_(r×s)
@0
_(s×r)&B_(s×s) )), 其中 A,B 可逆,求证 D 可逆 ○ |D|=|A||B|≠0⇒D 可逆 ○ 设 D^(−1)=(■8(X&Y@Z&W)) ○ 则 〖DD〗^(−1)=(■8(A&C@0&B))(■8(X&Y@Z&W))=(■8(AX+CZ&AY+CW@BZ&BW))=I=(■8(I_r&0@0&I_s )) ○ ⇒{█(AX+CZ=I@AY+CW=0@BZ=0@BW=I)┤⇒{█(X=A
(−1)
@Y
=−A
(−1) CB
(−1)
@Z
=0@W=B
(−1) )┤⇒D
(−1)=(■8(A
(−1)&−A^(−1) CB
(−1)
@0&B
(−1) ))