Math 375 - 10/5

Math 375
Published

October 26, 2017

Modified

November 7, 2017

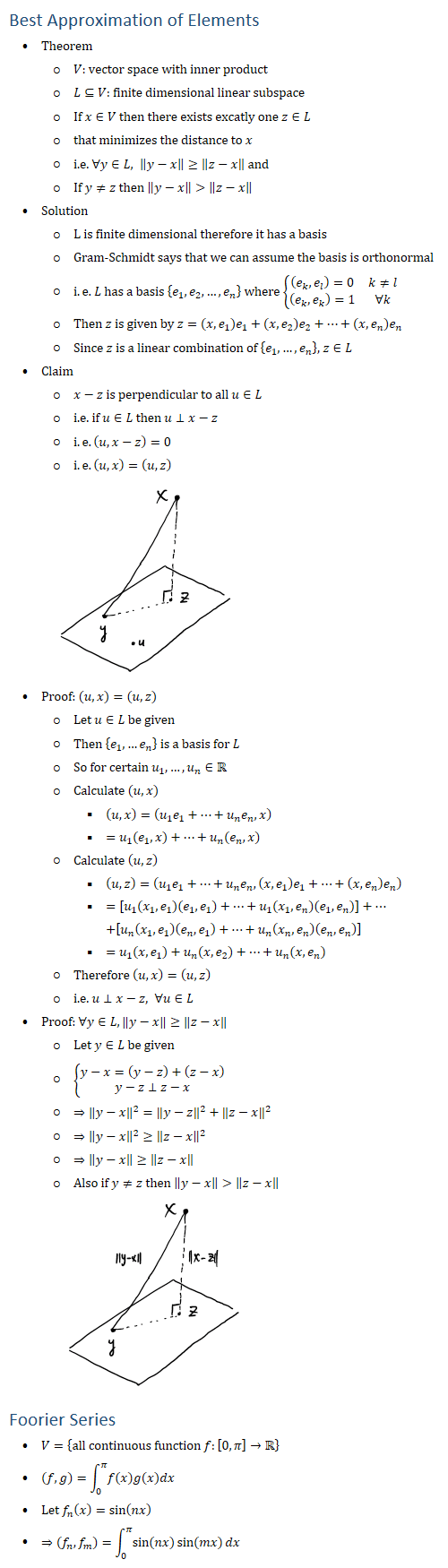
Best Approximation of Elements • Theorem ○ V: vector space with inner product ○ L⊆V: finite dimensional linear subspace ○ If x∈V then there exists excatly one z∈L ○ that minimizes the distance to x ○ i.e. ∀y∈L, ‖y−x‖≥‖z−x‖ and ○ If y≠z then ‖y−x‖>‖z−x‖ • Solution ○ L is finite dimensional therefore it has a basis ○ Gram-Schmidt says that we can assume the basis is orthonormal ○ i.e. L has a basis {e_1,e_2,…,e_n } where {■8((e_k,e_l )=0&k≠l@(e_k,e_k )=1&∀k)┤ ○ Then z is given by z=(x,e_1 ) e_1+(x,e_2 ) e_2+…+(x,e_n ) e_n ○ Since z is a linear combination of {e_1,…,e_n }, z∈L • Claim ○ x−z is perpendicular to all u∈L ○ i.e. if u∈L then u⊥x−z ○ i.e. (u,x−z)=0 ○ i.e. (u,x)=(u,z) • Proof: (u,x)=(u,z) ○ Let u∈L be given ○ Then {e_1,…e_n } is a basis for L ○ So for certain u_1,…,u_n∈R ○ Calculate (u,x) § (u,x)=(u_1 e_1+…+u_n e_n,x) § =u_1 (e_1,x)+…+u_n (e_n,x) ○ Calculate (u,z) § (u,z)=(u_1 e_1+…+u_n e_n,(x,e_1 ) e_1+…+(x,e_n ) e_n ) § =[u_1 (x_1,e_1 )(e_1,e_1 )+…+u_1 (x_1,e_n )(e_1,e_n )]+… +[u_n (x_1,e_1 )(e_n,e_1 )+…+u_n (x_n,e_n )(e_n,e_n )] § =u_1 (x,e_1 )+u_n (x,e_2 )+…+u_n (x,e_n ) ○ Therefore (u,x)=(u,z) ○ i.e. u⊥x−z, ∀u∈L • Proof: ∀y∈L, ‖y−x‖≥‖z−x‖ ○ Let y∈L be given ○ {█(y−x=(y−z)+(z−x)@y−z⊥z−x)┤ ○ ⇒‖y−x‖2=‖y−z‖2+‖z−x‖^2 ○ ⇒‖y−x‖2≥‖z−x‖2 ○ ⇒‖y−x‖≥‖z−x‖ ○ Also if y≠z then ‖y−x‖>‖z−x‖ Foorier Series • V={all continuous function f:[0,π]→R • (f,g)\∫_0^π▒f(x)g(x)dx • Let f_n (x)=sin⁡(nx) • ⇒(f_n,f_m )=∫_0^π▒〖sin⁡(nx) sin⁡(mx)dx〗 x Z…….._T as *U x 11×-21 My ex I TZ _ - _ - – _ – 80 s