Home
Papers
Projects
Blog
Course Notes
About
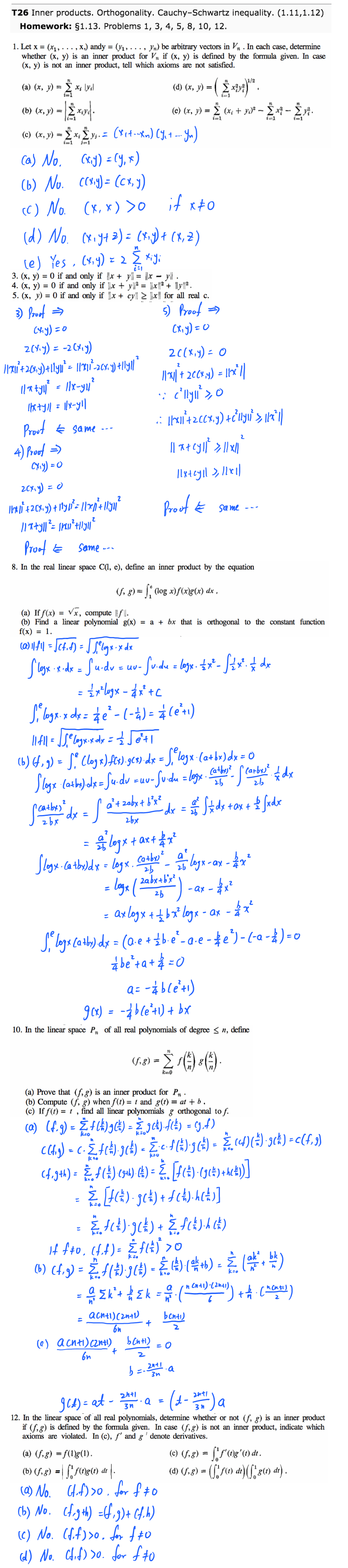
Math 375 - Homework 4
Math 375
Published
October 26, 2017
Modified
November 2, 2017