Home
Papers
Projects
Blog
Course Notes
About
Math 375 - 11/20
Math 375
Published
November 21, 2017
Modified
December 9, 2017
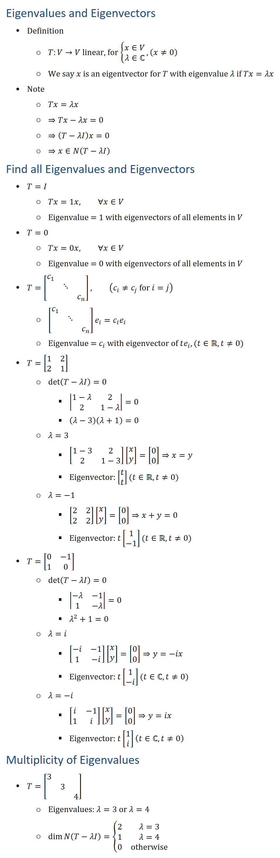
Eigenvalues and Eigenvectors • Definition ○ T:V→V linear, for {█(x∈V@λ∈ℂ)┤, (x≠0) ○ We say x is an eigentvector for T with eigenvalue λ if Tx=λx • Note ○ Tx=λx ○ ⇒Tx−λx=0 ○ ⇒(T−λI)x=0 ○ ⇒x∈N(T−λI) Find all eigenvalues and eigenvectors • T=I ○ Tx=1x, ∀x∈V ○ Eigenvalue = 1 with eigenvectors of all elements in V • T=0 ○ Tx=0x, ∀x∈V ○ Eigenvalue = 0 with eigenvectors of all elements in V • T=[■(c_1&&@&⋱&@&&c_n )], (c_i≠c_j for i=j) ○ [■(c_1&&@&⋱&@&&c_n )] e_i=c_i e_i ○ Eigenvalue = c_i with eigenvector of te_i, (t∈R, t≠0) • T=[■8(1&2@2&1) ○ det(T−λI)=0 § |■8(1−λ&2@2&1−λ)|=0 § (λ−3)(λ+1)=0 ○ λ=3 § [■8(1−3&2@2&1−3)][█(x@y)]=[█(0@0)]⇒x=y § Eigenvector: [█(t@t)](t∈R, t≠0) ○ λ=−1 § [■8(2&2@2&2)][█(x@y)]=[█(0@0)]⇒x+y=0 § Eigenvector: t[█(1@−1)](t∈R, t≠0) • T=[■8(0&−1@1&0) ○ det(T−λI)=0 § |■8(−λ&−1@1&−λ)|=0 § λ^2+1=0 ○ λ=i § [■8(−i&−1@1&−i)][█(x@y)]=[█(0@0)]⇒y=−ix § Eigenvector: t[█(1@−i)](t∈ℂ, t≠0) ○ λ=−i § [■8(i&−1@1&i)][█(x@y)]=[█(0@0)]⇒y=ix § Eigenvector: t[█(1@i)](t∈ℂ, t≠0) Multiplicity of Eigenvalues • T=[■(3&&@&3&@&&4)] ○ Eigenvalues: λ=3 or λ=4 ○ dim〖N(T−λI)={■8(2&λ=3@1&λ=4@0&otherwise)┤〗