Home
Papers
Projects
Blog
Course Notes
About
Math 375 - 12/4
Math 375
Published
December 4, 2017
Modified
December 8, 2017
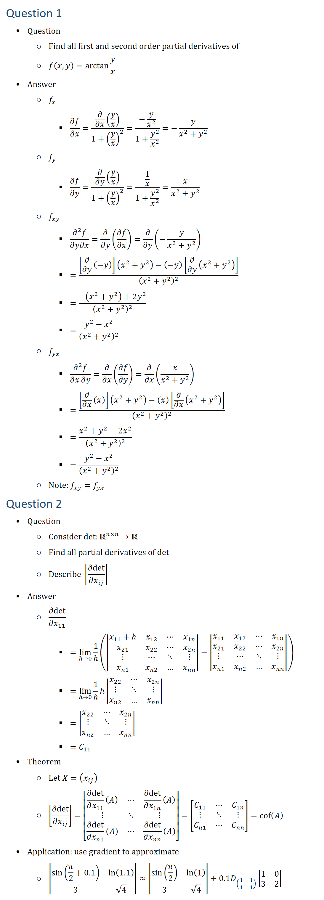
Question 1 • Question ○ Find all first and second order partial derivatives of ○ f(x,y)=arctan〖y/x〗 • Answer ○ f_x § ∂f/∂x=(∂/∂x (y/x))/(1+(y/x)^2 )=(−y/x^2 )/(1+y
2/x
2 )=−y/(x
2+y
2 ) ○ f_y § ∂f/∂y=(∂/∂y (y/x))/(1+(y/x)^2 )=(1/x)/(1+y
2/x
2 )=x/(x
2+y
2 ) ○ f_xy § (∂^2 f)/∂y∂x=∂/∂y (∂f/∂x)=∂/∂y (−y/(x
2+y
2 )) § =([∂/∂y (−y)](x
2+y
2 )−(−y)[∂/∂y (x
2+y
2 )])/(x
2+y
2 )^2 § =(−(x
2+y
2 )+2y
2)/(x
2+y^2 )^2 § =(y
2−x
2)/(x
2+y
2 )^2 ○ f_yx § (∂^2 f)/∂x∂y=∂/∂x (∂f/∂y)=∂/∂x (x/(x
2+y
2 )) § =([∂/∂x (x)](x
2+y
2 )−(x)[∂/∂x (x
2+y
2 )])/(x
2+y
2 )^2 § =(x
2+y
2−2x
2)/(x
2+y^2 )^2 § =(y
2−x
2)/(x
2+y
2 )^2 ○ Note: f_xy=f_yx Question 2 • Question ○ Consider 〖det:〗〖R(n×n)→R ○ Find all partial derivatives of det ○ Describe [∂det/(∂x_ij )] • Answer ○ ∂det/(∂x_11 ) § =lim_(h0)〖1/h(|■8(x_11+hx_12&⋯&x_1n@x_21&x_22&⋯&x_2n@⋮&⋯&⋱&⋮
@x_n1&x_n2
&…&x_nn )|−|■8(x_11&x_12&⋯&x_1n@x_21&x_22&⋯&x_2n@⋮&⋯&⋱&⋮
@x_n1&x_n2
&…&x_nn )|)〗 § =lim_(h0)〖1/hh■8(x_22&⋯&x_2n@⋮&⋱&⋮
@x_n2
&…&x_nn )|〗 § =|■8(x_22&⋯&x_2n@⋮&⋱&⋮
@x_n2
&…&x_nn )| § =C_11 • Theorem ○ Let X=(x_ij ) ○ [∂det/(∂x_ij )]=[■8(∂det/(∂x_11 ) (A)&⋯&∂det/(∂x_1n ) (A)@⋮&⋱&⋮@∂det/(∂x_n1 ) (A)&⋯&∂det/(∂x_nn ) (A) )]=[■8(C_11&⋯&C_1n@⋮&⋱&⋮
@C_n1
&⋯&C_nn )]=cof(A) • Application: use gradients to approximate ○ |■8(sin(π/2+0.1)&ln(1.1)
@3
&√4)|≈|■8(sin(π/2)&ln(1)
@3
&√4)|+0.1D_((■8(1&1@1&1)) ) |■8(1&0@3&2)|