Home
Papers
Projects
Blog
Course Notes
About
Math 375 - 12/6
Math 375
Published
December 7, 2017
Modified
December 8, 2017
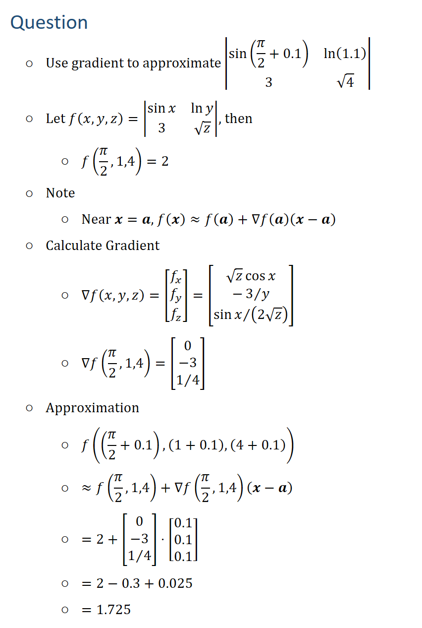
Question ○ Use gradient to approximate|■8(sin(π/2+0.1)&ln(1.1)
@3
&√4)| ○ Let f(x,y,z)=|■8(sinx&lny@3&√z)|, then ○ f(π/2,1,4)=2 ○ Note ○ Near x=a, f(x)≈f(a)+∇f(a)(x−a) ○ Calculate Gradient ○ ∇f(x,y,z)=[█(f_x@f_y
@f_z
)]=[█(√z cosx@−3∕y@sinx∕(2√z) )] ○ ∇f(π/2,1,4)=[█(0@−3@1∕4)] ○ Approximation ○ f((π/2+0.1), (1+0.1), (4+0.1)) ○ ≈f(π/2,1,4)+∇f(π/2,1,4)(x−a) ○ =2+[█(0@−3@1∕4)]⋅[█(0.1@0.1@0.1)] ○ =2−0.3+0.025 ○ =1.725