Home
Papers
Projects
Blog
Course Notes
About
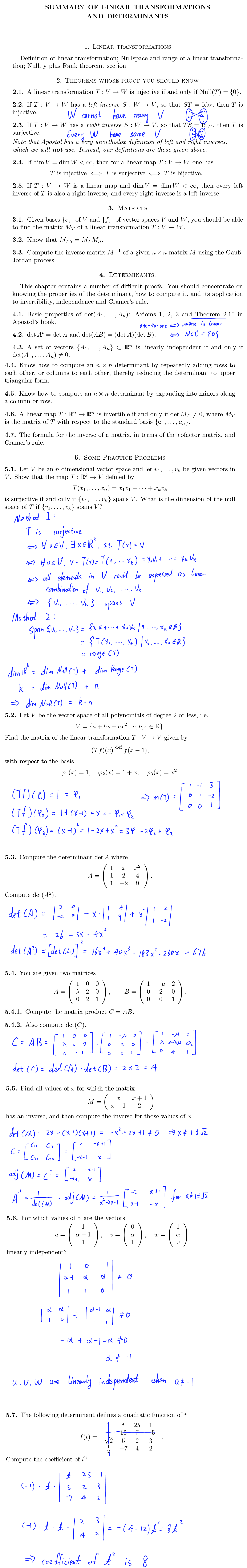
Math 375 - Midterm 2 Practice 1
Math 375
Published
November 12, 2017
Modified
November 16, 2017