Home
Papers
Projects
Blog
Course Notes
About
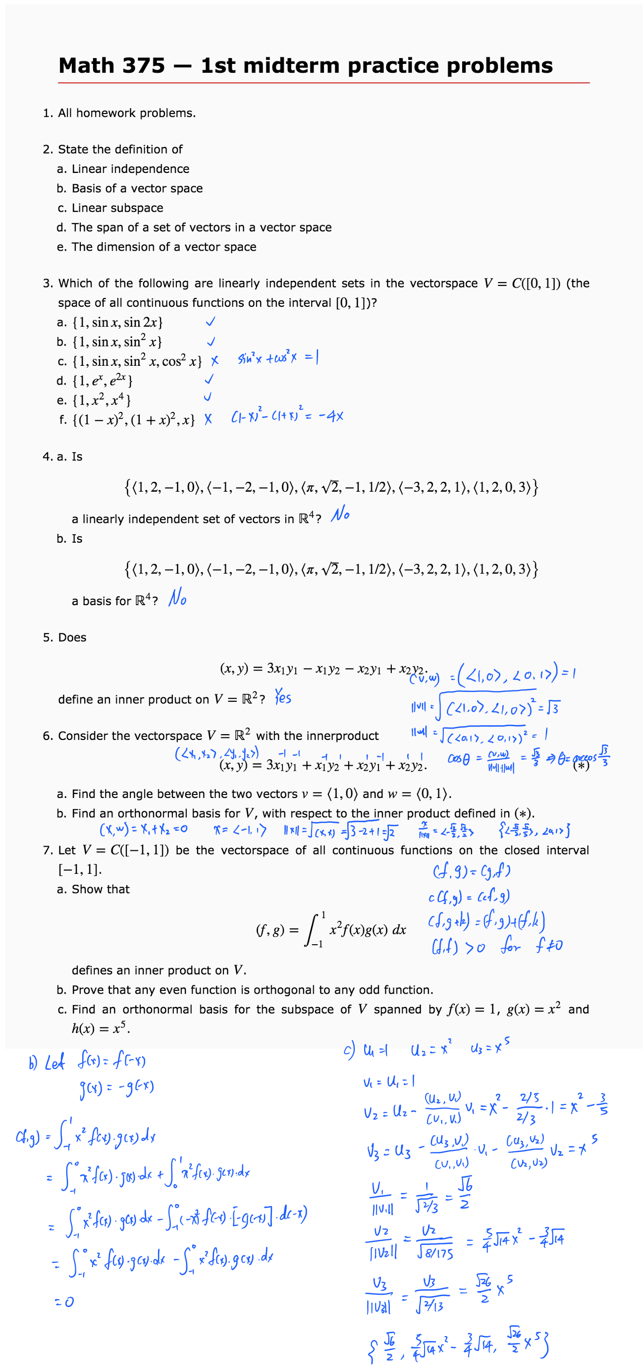
Math 375 - Midterm 1 Practice
Math 375
Published
October 27, 2017
Modified
November 12, 2017