Math 521 - 3/2

Math 521
Published

March 5, 2018

Modified

April 6, 2018

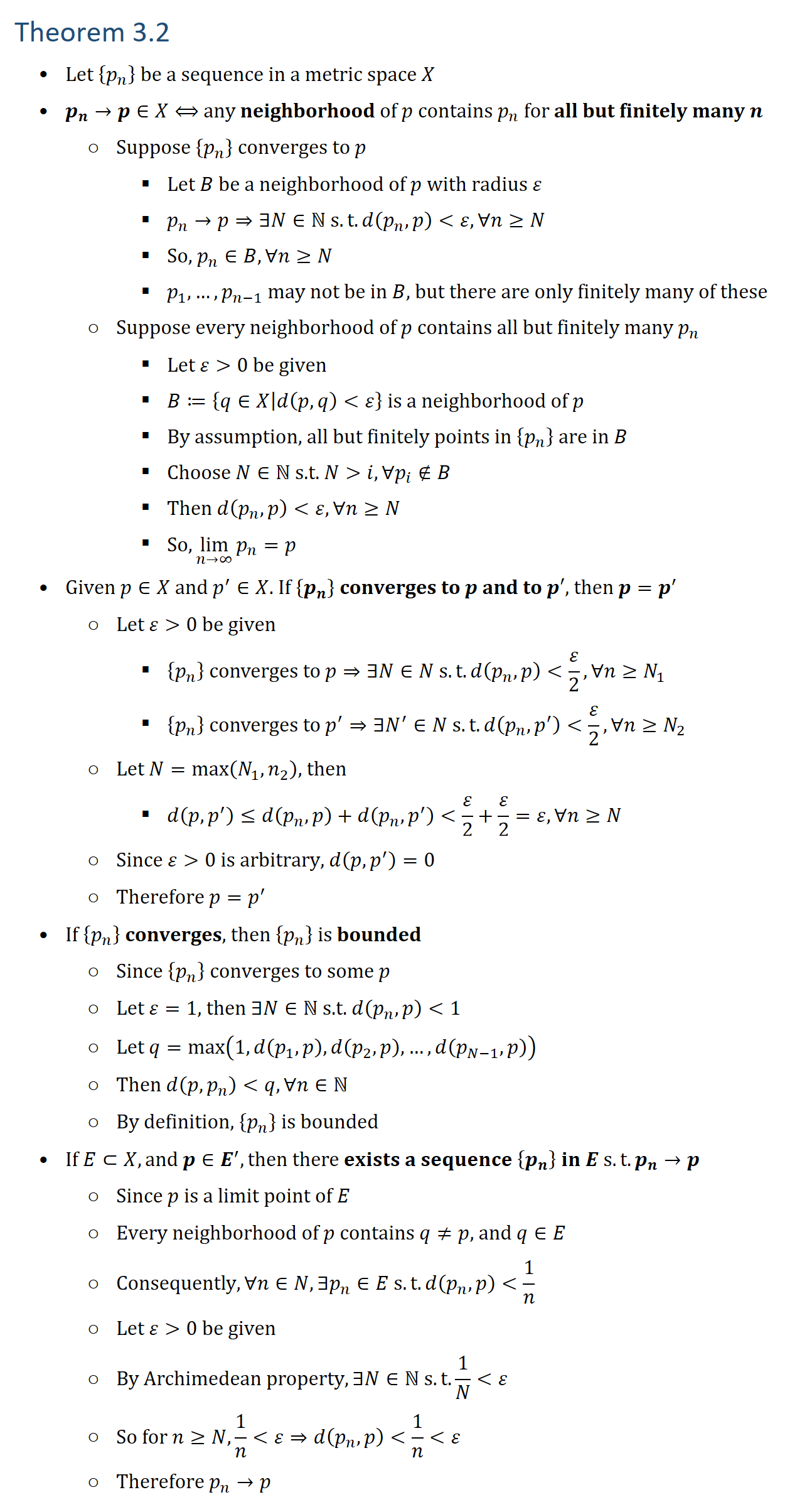
Theorem 3.2 • Let {p_n } be a sequence in a metric space X • p_n→p∈X⟺ any neighborhood of p contains p_n for all but finitely many n ○ Suppose {p_n } converges to p § Let B be a neighborhood of p with radius ε § p_n→p⇒∃N∈N s.t.d(p_n,p) ε,∀n≥N § So, p_n∈B,∀n≥N § p_1,…,p_(n−1) may not be in B, but there are only finitely many of these ○ Suppose every neighborhood of p contains all but finitely many p_n § Let ε 0 be given § B≔{q∈X│d(p,q) ε} is a neighborhood of p § By assumption, all but finitely points in {p_n } are in B § Choose N∈N s.t. N i,∀p_i∉B § Then d(p_n,p) ε,∀n≥N § So, lim_(n→∞)⁡〖p_n 〗=p • Given p∈X and p^′∈X. If {p_n } converges to p and to p′, then p=p^′ ○ Let ε 0 be given § {p_n } converges to p⇒∃N∈N s.t. d(p_n,p) ε/2,∀n≥N_1 § {p_n } converges to p′⇒∃N′∈N s.t. d(p_n,p^′ ) ε/2,∀n≥N_2 ○ Let N=max⁡(N_1,n_2 ), then § d(p,p^′ )≤d(p_n,p)+d(p_n,p^′ ) ε/2+ε/2=ε,∀n≥N ○ Since ε 0 is arbitrary, d(p,p^′ )=0 ○ Therefore p=p^′ • If {p_n } converges, then {p_n } is bounded ○ Since {p_n } converges to some p ○ Let ε=1, then ∃N∈N s.t. d(p_n,p) 1 ○ Let q=max⁡(1,d(p_1,p),d(p_2,p),…,d(p_(N−1),p)) ○ Then d(p,p_n ) q,∀n∈N ○ By definition, {p_n } is bounded • If E⊂X, and p∈E^′, then there exists a sequence {p_n } in E s.t.p_n→p ○ Since p is a limit point of E ○ Every neighborhood of p contains q≠p, and q∈E ○ Consequently, ∀n∈N, ∃p_n∈E s.t. d(p_n,p) 1/n ○ Let ε 0 be given ○ By Archimedean property, ∃N∈N s.t. 1/N ε ○ So for n≥N, 1/n ε⇒d(p_n,p) 1/n ε ○ Therefore p_n→p