Math 541 - 3/12

Math 541
Published

March 12, 2018

Modified

March 19, 2018

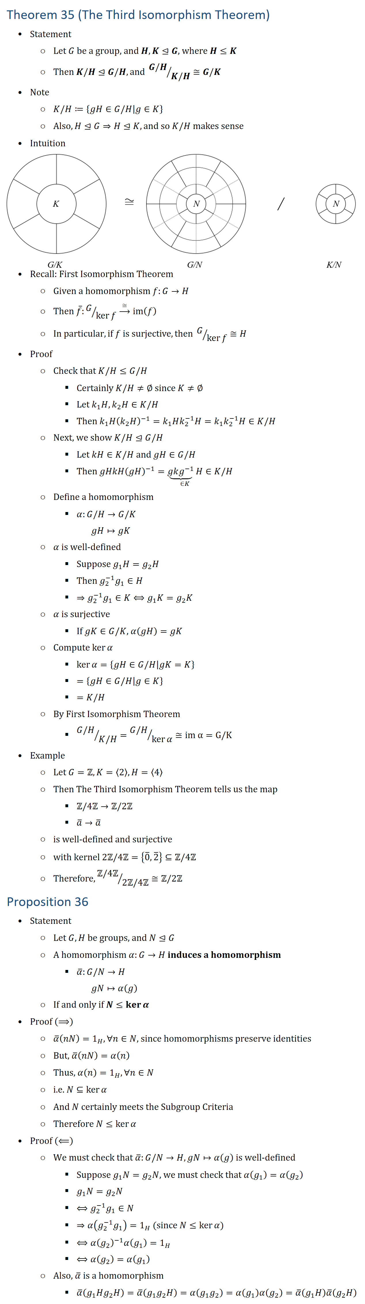
Theorem 35 (The Third Isomorphism Theorem) • Statement ○ Let G be a group, and H,K⊴G, where H≤K ○ Then K\H⊴G\H, and (G/H)⁄(K/H)≅G\K • Note ○ K\H≔{gH∈G/H│g∈K} ○ Also, H⊴G⇒H⊴K, and so K\H makes sense • Recall: First Isomorphism Theorem ○ Given a homomorphism f:G→H ○ Then f ̅:G⁄ker⁡f ⟶┴≅ im(f) ○ In particular, if f is surjective, then G⁄ker⁡f ≅H • Proof ○ Check that K\H≤G\H § Certainly K\H≠∅ since K≠∅ § Let k_1 H,k_2 H∈K\H § Then k_1 H(k_2 H)^(−1)=k_1 Hk_2^(−1) H=k_1 k_2^(−1) H∈K\H ○ Next, we show K\H⊴G\H § Let kH∈K\H and gH∈G\H § Then gHkH(gH)(−1)=(⏟(gkg(−1) ) H)┬(∈K)∈K\H ○ Define a homomorphism § α:G\H→G\K gH↦gK ○ α is well-defined § Suppose g_1 H=g_2 H § Then g_2^(−1) g_1∈H § ⇒g_2^(−1) g_1∈K⟺g_1 K=g_2 K ○ α is surjective § If gK∈G\K, α(gH)=gK ○ Compute ker⁡α § ker⁡α={gH∈G/H│gK=K} § ={gH∈G/H│g∈K} § =K\H ○ By First Isomorphism Theorem § (G/H)⁄(K/H)=(G/H)⁄ker⁡α ≅im α=G\K • Example ○ Let G=Z, K=⟨2⟩, H=⟨4⟩ ○ Then The Third Isomorphism Theorem tells us the map § Z\4Z→Z\2Z § a ̅→a ̅ ○ is well-defined and surjective ○ with kernel 2Z\4Z={0 ̅,2 ̅ }⊆Z\4Z ○ Therefore, (Z4Z⁄(2Z4Z≅Z\2Z Proposition 36 • Statement ○ Let G,H be groups, and N⊴G ○ A homomorphism α:G→H induces a homomorphism § α ̅:G\N→H gN↦α(g) ○ If and only if N≤ker⁡α • Proof (⟹) ○ α ̅(nN)=1_H, ∀n∈N, since homomorphisms preserve identities ○ But, α ̅(nN)=α(n) ○ Thus, α(n)=1_H,∀n∈N ○ i.e. N⊆ker⁡α ○ And N certainly meets the Subgroup Criteria ○ Therefore N≤ker⁡α • Proof (⟸) ○ We must check that α ̅:G\N→H,gN↦α(g) is well-defined § Suppose g_1 N=g_2 N, we must check that α(g_1 )=α(g_2 ) § g_1 N=g_2 N § ⟺g_2^(−1) g_1∈N § ⇒α(g_2^(−1) g_1 )=1_H (since N≤ker⁡α) § ⟺α(g_2 )^(−1) α(g_1 )=1_H § ⟺α(g_2 )=α(g_1 ) ○ Also, α ̅ is a homomorphism § α ̅(g_1 Hg_2 H)=α ̅(g_1 g_2 H)=α(g_1 g_2 )=α(g_1 )α(g_2 )=α ̅(g_1 H) α ̅(g_2 H)