Home
Papers
Projects
Blog
Course Notes
About
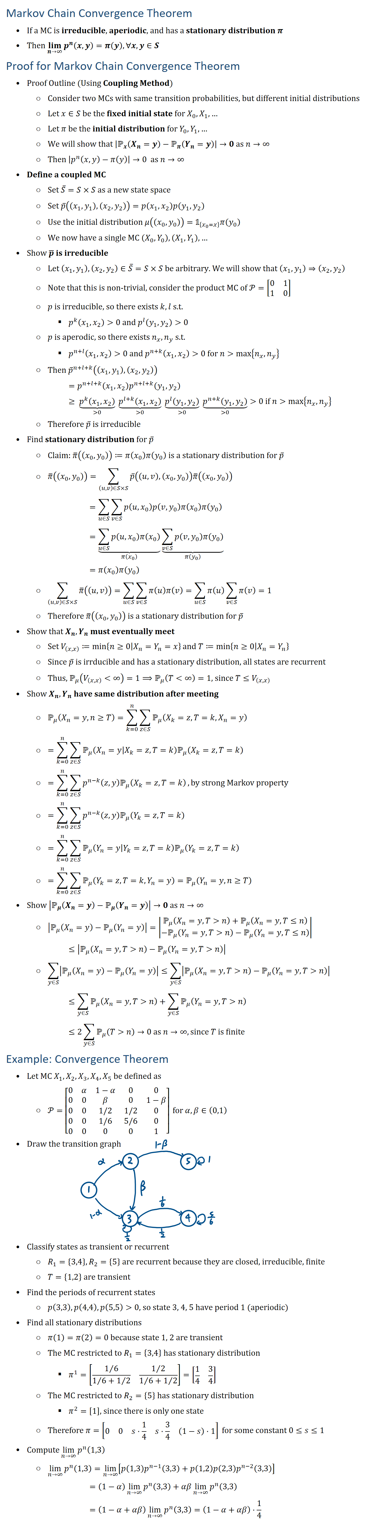
Math 632 - 10/9
Math 632
Published
October 9, 2018
Modified
October 18, 2018