Home
Papers
Projects
Blog
Course Notes
About
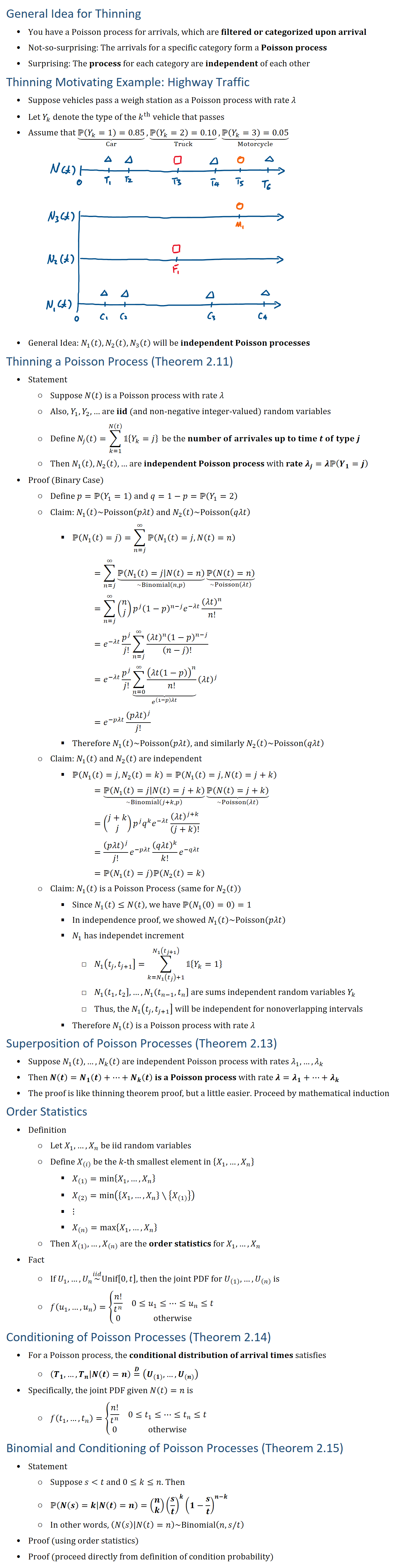
Math 632 - 11/6
Math 632
Published
November 6, 2018